NEWS:

Brak zdjęcia autora artykułu Mateusz Grabowski, Konstancja Jabłońska
  • W wydaniu drukowanym strona: 32

Pomiar stężenia HMF w miodach z polskich pasiek

Hydroksymetylofurfural (HMF, 5-hydroksymetylo-2-furfural) to organiczny związek chemiczny naturalnie występujący w produktach spożywczych. Powstaje m.in. spontanicznie pod wpływem odwodnienia cukrów prostych w wyniku długotrwałego przechowywania oraz ekspozycji na warunki termiczne.
Produkty, tj. miód, wykazują udowodnione działanie prozdrowotne, które zależy od ich składu chemicznego. Wynika z tego zalecenie stosowania konkretnego gatunku miodu na określaną grupę chorób.

Przykładowo ze względu na zawartą w miodzie gryczanym rutynę, jest on zalecany dla pacjentów z chorobami naczyń krwionośnych. Miód mniszkowy rekomenduje się osobom z niedoborem odporności lubz problemami skórnymi, ze względu na wysoką zawartość kwasu askorbinowego.

Pasieka nr 93 ([PAS93], styczeń-luty 2019, 32458511_842423002630930_591423817067266048_o)
fot. Jarosław Gerczak

Miód składa się z szeregu składników, głównie węglowodanów, które mogą stanowić substrat do syntezy hydroksymetylofurfuralu. Liczne doniesienia wskazują na niekorzystne dla zdrowia działanie HMF w produktach spożywczych. Jednak pojawiają się również badania potwierdzające jego korzystny wpływ na organizm przy leczeniu nowotworów [Kowalski 2012].

Charakterystyka chemiczna hydroksymetylofurfuralu

5-hydroksymetylo-2-furfural jest rozpuszczalnym w wodzie heterocyklicznym aldehydem o szkielecie furanu zawierającym dwie grupy funkcyjne: aldehydową i alkoholową. Stanowi hydroksymetylową pochodną furfuralu [Basumallick i Rohrer 2016].

Wzór strukturalny hydroksymetylofurfuralu przedstawiono na rys. 1. Jako produkt oczyszczony występuje w postaci igiełek o zapachu przypominającym rumianek lub w postaci gęstego syropu. Jest to związek słabo lotny, dobrze rozpuszczalny w rozpuszczalnikach organicznych, m.in. alkoholach, eterze, chloroformie, acetonie czy octanie metylu [Jabłońska i in. 2013].

Może powodować podrażnienie błon śluzowych, podrażnienie oczu oraz górnych dróg oddechowych [Jabłońska i in. 2013]. Wysokie stężenia hydroksymetylo-furfuralu są cytotoksyczne, genotoksyczne oraz rakotwórcze.

Pasieka nr 93 ([PAS93], styczeń-luty 2019, 5-hydroksymetylo-2-furfural)
Rys. 1. Wzór strukturalny 5-hydroksymetylo-2-furfuralu. Źródło: [Jabłońska i in. 2013].

Badania na gryzoniach laboratoryjnych wykazały, że 1% roztwór hydroksmetylofurfuralu w diecie wywoływał wzrost komórek rakowych okrężnicy [Zhang i in. 1993]. Liczne substancje chemiczne wykazują działanie mutagenne lub rakotwórcze po aktywacji metabolicznej do chemicznie reaktywnych związków pośrednich.

Przykładowo HMF przekształca się w chemicznie reaktywny ester allilowy, tzw. 5-sulfooksymetylofurfural (SMF) z udziałem sulfotransferazy (SULT). HMF wykazywał aktywność mutagenną podczas testów w docelowych komórkach bakteryjnych i ssakówz ekspresją ludzkiego genu SULT1A1 [Bakhiya i in. 2009].

Ustalono również dawkę doustną LD50 dla szczurów na poziomie 3,1 g/kg [Jabłońska i in. 2013].

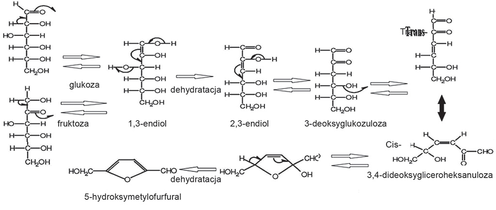
Sposobami powstawania HMF w produktach spożywczych jest gotowanie lub pasteryzacja prowadząca do dehydratacji (odwodnienia) cukrów takich jak glukoza, fruktoza, ksyloza, ryboza lub sacharoza [Basumallick i Rohrer 2016]. W temperaturze 150°C zachodzi proces karmelizacji, któremu ulegają cukry redukujące w zakwaszonym środowisku, w wyniku czego powstaje HMF [Jabłońska i in. 2013].

Schemat procesu karmelizacji przedstawiono na rys. 2.

Pasieka nr 93 ([PAS93], styczeń-luty 2019, HMF_rys-2)
Rys. 2. Schemat procesu karmelizacji prowadzący do powstania HMF. Źródło: [opracowano na podstawie Jabłońska i in. 2013].

Procesem, pod wpływem którego dochodzi do zmiany właściwości organoleptycznych produktu spożywczego, jest reakcja Maillarda zwana powszechnie reakcją brunatnienia. Reakcja ta składa się z trzech etapów: wczesnego, zaawansowanego i końcowego [Michalska i Zieliński 2007].

Reakcja Maillarda zachodzi pomiędzy grupą karbonylową lub hemiacetalową cukrów redukujących, a grupą aminową aminokwasów lub peptydów w trakcie długotrwałego przechowywania żywności, jej ekspozycji na światło słoneczne lub czynnik termiczny.

Obecność heksoz, jako produktów zaawansowanego etapu reakcji Maillarda, w środowisku obojętnym lub zasadowym prowadzi do 1,2-enolizacji i powstania 5-hydroksymetylofurfuralu [Michalska i Zieliński 2007]. Schemat przebiegu reakcji Maillarda na przykładzie fruktozyloglicyny przedstawiono na rys. 3.

Miody zafałszowane cukrem inwertowanym otrzymywanym w wyniku kwasowej hydrolizy sacharozy charakteryzują się podwyższoną zawartością hydroksymetylofurfuralu [Majewska i in. 2012].

Pasieka nr 93 ([PAS93], styczeń-luty 2019, HMF_rys-3)
Rys. 3. Schemat przebiegu reakcji Maillarda na przykładzie fruktozyloglicyny. Źródło: [opracowano na podstawie Jabłońska i in. 2013].

Hydroksymetylofurfural w produktach codziennego użytku

HMF jest wykrywalny w różnego rodzaju produktach spożywczych, takich jak płatki śniadaniowe, chleb razowy, dżemy z owoców leśnych, kawa, morele, rodzynki, daktyle, pieczywo pszenne, mleko UHT, pasteryzowane soki owocowe czy prażone orzechy.

Dodatkowo procesy obróbki cieplnej, takie jak pieczenie, smażenie, tostowanie, grillowanie czy sterylizacja, wpływają na zwiększenie stężenia hydroksymetylofurfuralu w produkcie poddawanym tej obróbce [Kowalski i Łukasiewicz 2012; Arribas-Lorenzo i Morales 2010; Husoy i in. 2008].

HMF jest również obecny w produktach zbożowych, owocowych, warzywnych przetworach i miodzie [Capuano i in. 2009; Gentry i Roberts 2004; Fallico i in. 2004].

Stężenie HMF w jednym rodzaju produktów bywa zmienne w zależności odsposobu ich przetwarzania. Dlatego np. w kawie rozpuszczalnej może się wahać od kilkudziesięciu do kilku tysięcy mg/kg [Arribas-Lorenzo i Morales 2010; Husoy i in. 2008].

Niektóre farmaceutyki oraz dym tytoniowy mogą zawierać hydroksymetylofurfural. Podczas palenia papierosów dochodzi do pirolizy celulozy zawartej w tytoniu, co prowadzi do tworzenia się różnego rodzaju furanów, do których należy również HMF [Wieslander i in. 1993].

Obecność HMF potwierdzono w sterylizowanych płynach infuzyjnych stosowanych w kroplówkach jako produktu przemian cukrów prostych wchodzących w ich skład [Nilsson-Thorell i in. 1993].

Składniki, metoda produkcji i sposób przechowywania wpływają na zawartość HMF. Jakość produktu określa się za pomocą stężenia hydroksymetylofurfuralu, co może świadczyć o nieprawidłowym sposobie przechowywania [Cendrowski i in. 2011; Rada-Mendoza i in. 2004].

W badaniach Askara [1984] wykazano, że w świeżych sokach owocowych stężenie HMF jest niewielkie. Badanie stężenia HMF jest uważane za dobry wskaźnik poprawności wykonania obróbki cieplnej podczas produkcji dżemów oraz przetworów owocowych.

Ponadto zawartość HMF pozwala na określenie jakości również w paście pomidorowej, sosach jabłkowych, galaretkach owocowych i przetworach owocowych dla niemowląt [Cendrowski i in. 2011].

W literaturze znaleźć można informacje potwierdzające pozytywny wpływ działania hydroksymetylofurfuralu na organizm człowieka. Z badań Dinga i in. [2010] wynika, że obecność hydroksymetylofurfuralu w ekstrakcie z derenia lekarskiego (Fructuscorni L.) wykazuje działanie terapeutyczne na hepatocyty.

Z badań Sriwilaijaroena i in. [2011] wynika, że estrowe pochodne hydroksymetylofurfuralu z kwasem cytrynowym i jabłkowym mają korzystny wpływ na leczenie grypy wywołanej wirusem typu A (H1N1).

Stężenie HMF jako miara jakości miodów

Zawartość niektórych składników miodu została ściśle określona przez Radę Unii Europejskiej. Dyrektywa Rady 2001/110/WE z dnia 20 grudnia 2001 r. odnosząca się do miodu wyznacza m.in. definicję miodu, określa jego główne rodzaje, a także podaje kryteria składu.

Wśród tych ostatnich znajdują się takie parametry jak zawartość cukrów, tj. glukozy i fruktozy łącznie oraz sacharozy, zawartość wody, substancji nierozpuszczalnych w wodzie, przewodność elektryczna, aktywność diastazy oraz zawartość hydroksymetylofurfuralu oznaczana po przetworzeniu i mieszaniu.

Określono ogólną (z wyjątkiem miodu piekarskiego) dopuszczalną zawartość HMF na poziomie nie więcej niż 40 mg/kg masy miodu. Natomiast w miodzie o deklarowanym pochodzeniu z regionów o klimacie tropikalnym i mieszankach takich miodów nie więcej niż 80 mg/kg.

Hydroksymetylofurfural jest powszechnie uważany za wskaźnik jakości miodu. W 1990 roku powstała Międzynarodowa Komisja ds. Miodu (ang. International Honey Commission, IHC) na potrzeby stworzenia nowych standardów dla tego produktu.

IHC zrzesza naukowców z całego świata, w tym z Polski, zajmujących się badaniami nad miodem. Działania komisji opierają się na wytyczonym przez Światową Organizację Zdrowia Kodeksie standardu dla miodu oraz dyrektywie Rady Europejskiej dotyczącej miodu (http://www.ihc-platform.net/).

Metody oznaczenia zawartości hydroksymetylofurfuralu

Istnieje kilka metod analitycznych oznaczenia HMF w produktach spożywczych zalecanych przez Międzynarodową Komisję ds. Miodu. Są to metoda Winklera, White’a oraz wysokosprawna chromatografia cieczowa (HPLC).

Metoda Winklera polega na reakcji hydroksymetylofurfuralu z kwasem barbiturowym i p-toluidyną w obecności kwasu octowego. Kolejny etap to oznaczenie kolorymetryczne przy długości fali 550 nm. Metoda ta jest mało specyficzna, gdyż reagują tutaj również inne pochodne furfuralu [Jabłońska i in. 2013].

Metoda White’a, która posłużyła do obliczenia stężenia hydroksymetylofurfuralu w przedstawionych badaniach, jest szybka i prosta w wykonaniu oraz szeroko dostępna ze względu na popularność odczynników. Najdokładniejsza i najbardziej precyzyjna metoda oznaczenia HMF to wysokosprawna chromatografia cieczowa, która pozwala na jednoczesne oznaczenie innych związków.

Wadą metody jest bardzo wysoka cena sprzętu oraz długi czas analizy próbki.

Dodatkowo innym sposobem oznaczenia zawartości HMF jest metoda TBA polegająca na reakcji hydroksymetylofurfuralu z kwasem tiobarbiturowym (TBA) w kwaśnym środowisku. Powstały produkt jest oznaczany kolorymetrycznie przy długości fali 443 nm.

Metoda ta posiada kilka wad: podobnie jak oznaczenie metodą Winklera nie jest specyficzna oraz powstały kompleks nie jest stabilny podczas analizy [Jabłońska i in. 2013].

Materiały i metody

Materiał stanowiły miody z polskich pasiek zakupione od pszczelarzy z obszaru Pojezierza Mazurskiego i Borów Tucholskich. Badane próby miodów były oznaczone przez pszczelarzy i przynależność gatunkowa nie została potwierdzona przez autorów analizą pyłkową.

Dokonano oznaczenia zawartości hydroksymetylofurfuralu w sześciu rodzajach miodów. Wykonano po sześć pomiarów przy dwóch długościach fali dla każdego rodzaju miodu. Są to kolejno: miód leśny malina i czeremcha (2017), miód rzepakowy (2017), miód mniszkowy (2015), miód wielokwiatowy (2015), miód gryczany (2017) i miód chabrowy (2017).

Badane próbki miodów oznaczono za pomocą metody White’a zgodnie z protokołem wykonania.

Wyniki

Na rys. 4. przedstawiono stężenia hydroksymetylofurfuralu w próbach miodów z polskich pasiek.

Pasieka nr 93 ([PAS93], styczeń-luty 2019, hmf_honey)
Rys. 4. Stężenia hydroksymetylofurfuralu w próbach miodów z polskich pasiek. Źródło: [opracowanie własne].

 

Pogrubiona linia poprzeczna przy wartości 40 mg/kg miodu stanowi limit stężenia HMF ustalony przez dyrektywę Rady Europejskiej dotyczącej miodu. Stężenie HMF w miodzie leśnym malina i czeremcha wynosiło 6,14 mg/kg miodu, w miodzie rzepakowym 8,39 mg/kg miodu, w miodzie mniszkowym 33,77 mg/kg miodu, w miodzie wielokwiatowym 98,6 mg/kg miodu, w miodzie gryczanym 8,68 mg/kg miodu, a w miodzie chabrowym 0,22 mg/kg miodu.

Wnioski i dyskusja

Zaprezentowane wyniki sugerują, że stężenia hydroksymetylofurfuralu w badanych miodach z polskich pasiek w większości nie przekraczają sugerowanej przez dyrektywę Rady Europejskiej dotyczącej zawartości HMF w miodzie. Spośród sześciu różnych rodzajów badanych miodów jedynie stężenie HMF w miodzie wielokwiatowym (98,6 mg/kg) około 2,5-krotnie przekracza rekomendowaną maksymalną zawartość tego związku (rys. 4.).

W badaniach Wilczyńskiej [2011] dotyczących wpływu procesów technologicznych na jakość miodów pszczelich wykazano, że podczas przechowywania miodów zawartość HMF wzrasta. Badany miód wielokwiatowy został wyprodukowany trzy lata temu, co prawdopodobnie może być przyczyną powstania hydroksymetylofurfuralu.

Jak wynika z analiz Śliwińskiej i in. [2012] spośród wszystkich zakupionych rodzajów miodów największą zawartość HMF wykazywał również miód wielokwiatowy, zawierający 87,6 mg/kg HMF.

Poza nim kilka miodów charakteryzowało się podwyższoną zawartością HMF: wrzosowy – 48,6 mg/kg, gryczany – odpowiednio 59,5 mg/kg dla pierwszej próby oraz 48,8 mg/kg dla drugiej oraz inny miód wielokwiatowy o stężeniu HMF na poziomie 57,0 mg/kg miodu [Śliwińska i in. 2012].

Inne rodzaje miodów zbadanych przez Śliwińską i in. [2012] nie przekraczały maksymalnego rekomendowanego stężenia HMF (<40 mg/kg): lipowy (30,1 i 31,9 mg/kg), spadziowy (32,6 i 9,0 mg/kg), akacjowy (29,4 i 31,7 mg/kg) faceliowy (23,0 mg/kg) oraz miód rzepakowy (27,3 mg/kg).

Ostatni zaprezentowany przez Śliwińską i in. miód rzepakowy zawierał około trzykrotnie większe stężenie HMF w porównaniu do otrzymanych wyników dla tego miodu (8,39 mg/kg) (rys. 4). Jednak oba te miody nie przekraczają sugerowanej przez dyrektywę Rady Europejskiej zawartości HMF.

Różnice te mogą wynikać z różnego pochodzenia miodów i odmiennych warunków przechowywania. Z badań Szczęsnej i in. [2011] wynika, że średnia zawartość HMF w miodach rzepakowych wahała się od 0,5 do 13,1 mg/kg – są to wyniki porównywalne z otrzymaną w badaniu zawartością HMF dla tego rodzaju miodu (rys. 4.).

Według Kędzierskiej-Matysek i in. [2016] zawartość HMF w świeżej próbce miodu rzepakowego wynosiła 3,07 mg/kg, w próbkach miodu przechowywanego w pokojowej temperaturze przez 18 miesięcy – 19,74 mg/kg, natomiast w miodzie przechowywanym w temperaturze -20°C przez 18 miesięcy – 1,52 mg/kg.

Wykazano, że długotrwałe mrożenie powoduje obniżenie zawartości HMF w badanym miodzie. W literaturze można również znaleźć informacje dotyczące wpływu podwyższonej temperatury na powstawanie HMF w miodach. Wilczyńska [2011] zauważyła, że obróbka cieplna w temperaturach wahających się w przedziale od 50°C do 80°C przez 72 godziny spowodowała znaczny wzrost zawartości hydroksymetylofurfuralu.

Zawartość tego związku w miodzie ogrzewanym w temperaturze 50°C wynosiła od 1,1 do 70 mg/kg, w temperaturze 70°C od 105 do 551 mg/kg, a w temperaturze 80°C od 226 do 960 mg/kg.

W badaniach Majewskiej i in. [2011] dotyczących porównania metod oznaczenia HMF w miodach pszczelich wykorzystano HPLC oraz metody spektrofotometryczne Winklera i White’a. Wszystkie analizowane rodzaje miodów wskazywały zawartość HMF poniżej 40 mg/kg.

Miód gryczany zawierał około 12 mg/kg hydroksymetylofurfuralu; jest to wynik porównywalny do otrzymanego w badaniu (rys. 4.). Potwierdza to właściwy dobór metody oznaczenia badanych miodów. Metoda White’a do oznaczenia HMF w miodach pszczelich dawała najniższe wyniki spośród trzech wybranych przez Majewską i in. [2011] metod, jednak były one porównywalne z metodą HPLC przy zawartości poniżej 5 mg/kg.

Ponadto zaprezentowane w naszych badaniach wyniki (rys. 4) wskazują, że miód chabrowy cechuje najmniejsza zawartość HMF (0,22 mg/kg). Miód leśny malina i czeremcha, miód rzepakowy oraz miód gryczany zawierały porównywalną ilość hydroksymetylofurfuralu.

Zbadany miód mniszkowy (rys. 4) pomimo długiego czasu przechowywania wykazywał stężenie HMF poniżej rekomendowanej normy UE.

Zakończenie

Śledzenie zawartości hydroksymetylofurfuralu w miodach jest istotnym aspektem związanym z jakością miodów. Stężenie przekraczająca 40 mg/kg miodu może świadczyć o długim lub niewłaściwym przechowywaniu, dodaniu cukru inwertowanego lub podgrzewaniu miodu. Istotnym aspektem jest kontrola ilości hydroksymetylofurfuralu w miodach z polskich pasiek w celu oceny ich jakości.

Mateusz Grabowski, Konstancja Jabłońska
Centrum Medycyny Doświadczalnej, Wydział Lekarski, ŚUM w Katowicach
kontakt: Ten adres pocztowy jest chroniony przed spamowaniem. Aby go zobaczyć, konieczne jest włączenie w przeglądarce obsługi JavaScript.


<?php $pas="2019nr1str32"; $pasCov="images/stories/Pasieka/2019_1/Pasieka_2019nr01_[93].jpg"; include("./goto/art_footer.php"); ?>

 \"WydanieZamów prenumeratę czasopisma "Pasieka"